Corrigir texto

Se você encontrou algum erro nesta notícia, por favor preencha o formulário abaixo e clique em enviar. Este formulário destina-se somente à comunicação de erros.

Economia

- Publicada em 29 de Maio de 2020 às 17:35

Após surto de Covid-19, frigorífico de Nova Araçá é fechado e eleva alerta no RS

Agroaraçá tem mais de 1,7 mil trabalhadores e registra 157 infectados pelo novo coronavírus

Agroaraçá tem mais de 1,7 mil trabalhadores e registra 157 infectados pelo novo coronavírus


HELENA COMUNELLO DE SÁ/DIVULGAÇÃO/JC
Patrícia Comunello
Os menos de 5 mil habitantes de Nova Araçá, pequeno município de colonização italiana na serra gaúcha, distante pouco mais de 200 quilômetros de Porto Alegre, estão em alerta. A maior empresa da localidade, o frigorífico Agroaraçá foi fechado, após um surto do novo coronavírus, que é o segundo maior em número de notificações em andamento no Rio Grande do Sul neste momento, segundo boletim epidemiológico da Secretaria Estadual da Saúde (SES).
Os menos de 5 mil habitantes de Nova Araçá, pequeno município de colonização italiana na serra gaúcha, distante pouco mais de 200 quilômetros de Porto Alegre, estão em alerta. A maior empresa da localidade, o frigorífico Agroaraçá foi fechado, após um surto do novo coronavírus, que é o segundo maior em número de notificações em andamento no Rio Grande do Sul neste momento, segundo boletim epidemiológico da Secretaria Estadual da Saúde (SES).
Dos quase 1,7 mil empregados da planta, 158 tiveram teste positivo para Covid-19, sendo que um morreu pela doença. O frigorífico de abates de frangos foi paralisado entre esta sexta-feira (29) e este domingo (31). Segundo nota da empresa no Facebook, os trabalhadores que não estão afastados por alguma relação com os doentes serão testados. A previsão da nota é de reabertura na segunda-feira (1 de junho). 
A Vigilância em saúde da cidade e do Estado acompanham a testagem para avaliar se novas medidas podem ser adotadas. O coordenador do Centro de Operações Emergenciais (COI) do Centro Estadual de Vigilância em Saúde (CEVS), ligado à pasta da Saúde, Marcelo Vallandro, reforça que a notificação dos casos o quanto antes e a prevenção nas unidades são fundamentais.
"Se se age tardiamente, as medidas são mais difíceis", alertou. Ele frisou o papel das empresas com maior número de funcionários para adoção de cuidados e ação se for constatada a contaminação.   
Muitos moradores questionam por que o número de casos da cidade do mapa estadual é bem inferior ao que o surto indica. Vallandro explica que há demora alguns dias entre o teste e exame clinico detectando a síndrome gripal e a atualização dos dados. Nesta sexta, Nova Araçá registra 25 casos de Covid-19. O município tem de lançar no sistema nacional cada caso. Quando o trabalhador que não reside no município, o caso é inserido no local de domicílio.     
A nota diz que as medidas "já estavam programadas pelo Agroaraçá, sendo, agora, ratificadas pelas autoridades competentes". O Jornal do Comércio tentou contato por telefone e enviou solicitação para  mais esclarecimentos por e-mail, mas não obteve retorno até o fim da tarde desta sexta.
Os donos da planta são os mesmos proprietários da empresa Nicolini, com operação em Garibaldi e que também foi alvo de medidas devido à infecção. Boletim da SES aponta que 240 dos 1.157 funcionários têm Covid-19 na unidade de Garibaldi, maior contingente registrado em indústrias na 21ª semana epidemiológica, que segue procedimento de acompanhamento da área sanitária estadual. Os dados se referem até dia 26 de maio.  
O Ministério Público do Trabalho (MPT) informou que o Agroaraçá assinou Termo de Ajustamento de Conduta (TAC) na quarta-fera (27) prevendo o fechamento temporário e medidas de desinfecção completa da fábrica. Também foi definido que apenas 40% dos empregados poderão voltar a trabalhar na segunda, podendo retornar á capacidade total até 10 de junho. Mas a reativação da produção completa vai depender do resultado da testagem e afastamento de contaminados e suspeitos, diz o MPT. TACs para garantir condições de operação forma firmados por outras plantas pelo Estado.       
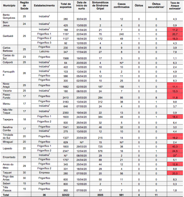
Os dados sobre o Agroaraçá e de mais 35 empresas - 23 frigoríficos, 11 indústrias, um laticínio e uma empresa de outros segmentos - estão no boletim da SES. Segundo o documento, disponível no site sobre o coronavírus, há 36 surtos em empresas gaúchas, que somam 32.422 trabalhadores expostos ao vírus (neste caso é o quadro total). Pelo menos 3.505 pessoas têm sintomas de síndrome gripal e 981 tiveram diagnóstico de Covid-19. Até agora quatro óbitos foram registrados por complicações do novo vírus. 

Tabela da SES mostra onde são surtos em empresas no RS e casos identificados

{'nm_midia_inter_thumb1':'https://www.jornaldocomercio.com/_midias/jpg/2020/05/29/206x137/1_pandemia_surtos_frigorificos_covid_19_rs_tabela_jornal_do_comercio-9067989.jpg', 'id_midia_tipo':'2', 'id_tetag_galer':'', 'id_midia':'5ed18d1889698', 'cd_midia':9067989, 'ds_midia_link': 'https://www.jornaldocomercio.com/_midias/jpg/2020/05/29/pandemia_surtos_frigorificos_covid_19_rs_tabela_jornal_do_comercio-9067989.jpg', 'ds_midia': 'Pandemia de coronavírus - surtos em empresas - tabela com dados por tipo de empreendimentos - frigoríficos lideram - dados epidemiológicos - Secretaria Estadual da Saúde', 'ds_midia_credi': 'SES/DIVULGAÇÃO/JC', 'ds_midia_titlo': 'Pandemia de coronavírus - surtos em empresas - tabela com dados por tipo de empreendimentos - frigoríficos lideram - dados epidemiológicos - Secretaria Estadual da Saúde', 'cd_tetag': '1', 'cd_midia_w': '612', 'cd_midia_h': '652', 'align': 'Left'}
Segundo boletim, até a quarta-feira (27), três frigoríficos (um em Garibaldi e dois em Lajeado) estavam com interdição parcial das atividades. Na quarta, a situação mudou, e as plantas da BRF e Minuano começaram a retomar a capacidade produtiva, após medidas de controle dos casos e proteção. O setor avícola gaúcho critica as interdições devido aos impactos econômicos. O Rio Grande do Sul é um dos mais exportadores de frangos do Brasil.
O Nicolini, de Garibaldi, é um deles. A unidade opera em um turno com menos de 200 trabalhadores. A unidade abatia 300 mil frangos ao dia e agora processa menos de 200 mil. A previsão é de ativar o segundo turno na semana que vem, segundo a empresa. O maior número de óbitos, oito, foi em uma planta em Passo Fundo. 
A BRF, dona de uma das unidades com surto em Lajeado, informou que a testagem em massa de 2.759 funcionários apontou que 89, ou 3,23%, têm a doença. O exame aplicado foi o RT-PCR que detecta o vírus enquanto há sintomas da doença.
A contaminação nas plantas frigoríficas tem sido uma das grandes preocupações e fatores para disseminação do vírus em localidades da metade norte gaúcha. Os casos se estendem desde o Planalto, como em Passo Fundo a Lajeado e muitas cidades da serra. Lajeado passou à primeira posição com mais casos de Covid-19 graças aos casos nas plantas, com contaminação de outras pessoas que tiveram contato com os contaminados.
Uma das características marcantes do novo coronavírus é o rápido contágio, por isso medidas de isolamento e distanciamento são adotadas para frear a velocidade de disseminação do vírus. O Rio Grande do Sul passou ao modelo de distanciamento controlado em 11 de maio, com uso de cores de bandeiras (amarela, laranja, vermelha e preta) em 20 regiões para indicar nível de registros e restrições de setores econômicos e na circulação. Hoje só há bandeiras amarela (mais branda) e laranja (que permite maior parte de setores).  
Conteúdo Publicitário
Leia também
Comentários CORRIGIR TEXTO